Chapter 7 Lawlor human pancreas (SMARTer)

7.1 Introduction

This performs an analysis of the Lawlor et al. (2017) dataset, consisting of human pancreas cells from various donors.

7.2 Data loading

library(scRNAseq)
sce.lawlor <- LawlorPancreasData()
library(AnnotationHub)
edb <- AnnotationHub()[["AH73881"]]
anno <- select(edb, keys=rownames(sce.lawlor), keytype="GENEID", 
    columns=c("SYMBOL", "SEQNAME"))
rowData(sce.lawlor) <- anno[match(rownames(sce.lawlor), anno[,1]),-1]

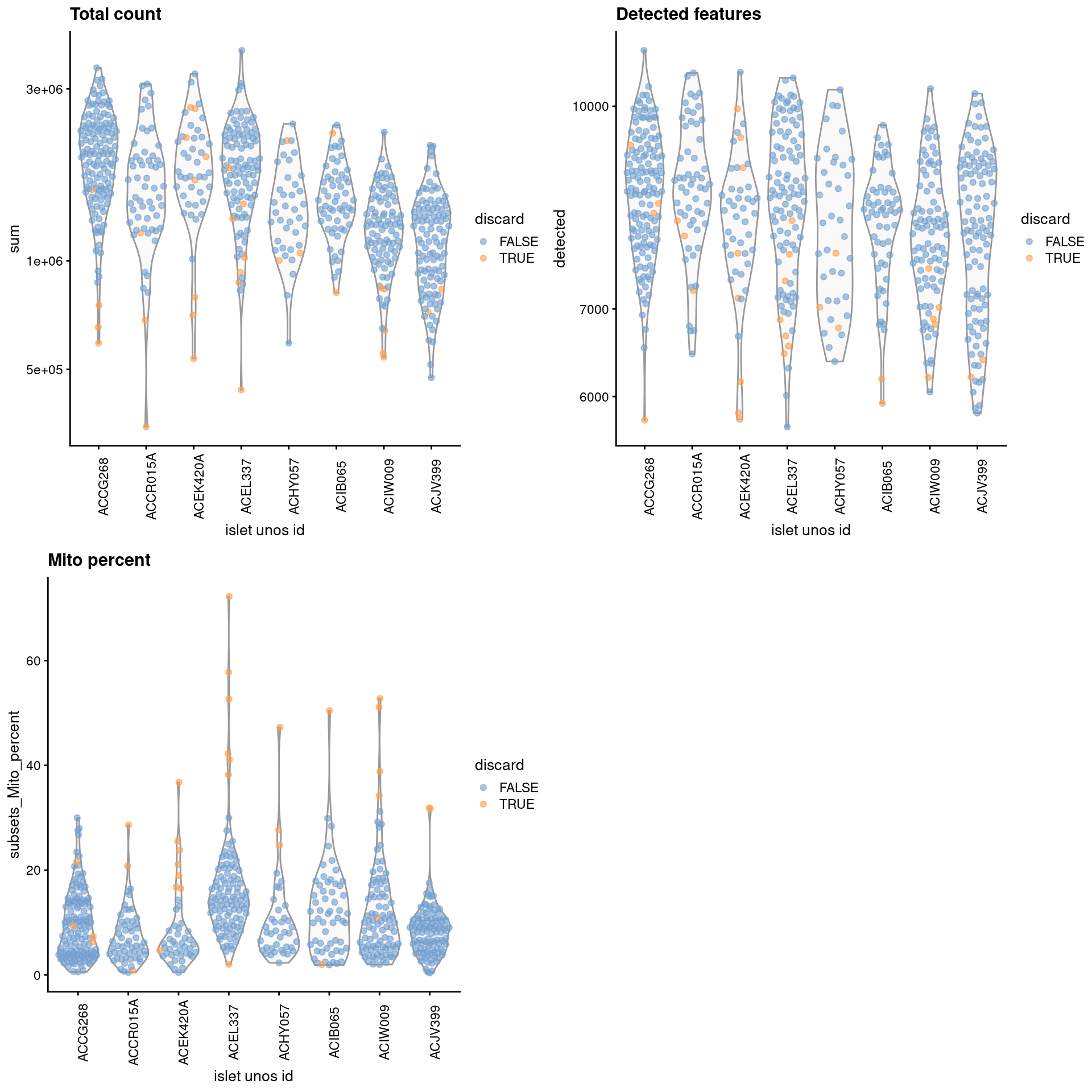
7.3 Quality control

unfiltered <- sce.lawlor
library(scater)
stats <- perCellQCMetrics(sce.lawlor, 
    subsets=list(Mito=which(rowData(sce.lawlor)$SEQNAME=="MT")))
qc <- quickPerCellQC(stats, percent_subsets="subsets_Mito_percent",
    batch=sce.lawlor$`islet unos id`)
sce.lawlor <- sce.lawlor[,!qc$discard]
colData(unfiltered) <- cbind(colData(unfiltered), stats)
unfiltered$discard <- qc$discard

gridExtra::grid.arrange(
    plotColData(unfiltered, x="islet unos id", y="sum", colour_by="discard") +
        scale_y_log10() + ggtitle("Total count") +
        theme(axis.text.x = element_text(angle = 90)),
    plotColData(unfiltered, x="islet unos id", y="detected", 
        colour_by="discard") + scale_y_log10() + ggtitle("Detected features") +
        theme(axis.text.x = element_text(angle = 90)), 
    plotColData(unfiltered, x="islet unos id", y="subsets_Mito_percent",
        colour_by="discard") + ggtitle("Mito percent") +
        theme(axis.text.x = element_text(angle = 90)),
    ncol=2
)
Distribution of each QC metric across cells from each donor of the Lawlor pancreas dataset. Each point represents a cell and is colored according to whether that cell was discarded.

Figure 7.1: Distribution of each QC metric across cells from each donor of the Lawlor pancreas dataset. Each point represents a cell and is colored according to whether that cell was discarded.

plotColData(unfiltered, x="sum", y="subsets_Mito_percent",
    colour_by="discard") + scale_x_log10()
Percentage of mitochondrial reads in each cell in the 416B dataset compared to the total count. Each point represents a cell and is colored according to whether that cell was discarded.

Figure 7.2: Percentage of mitochondrial reads in each cell in the 416B dataset compared to the total count. Each point represents a cell and is colored according to whether that cell was discarded.

colSums(as.matrix(qc))
##              low_lib_size            low_n_features high_subsets_Mito_percent 
##                         9                         5                        25 
##                   discard 
##                        34

7.4 Normalization

library(scran)
set.seed(1000)
clusters <- quickCluster(sce.lawlor)
sce.lawlor <- computeSumFactors(sce.lawlor, clusters=clusters)
sce.lawlor <- logNormCounts(sce.lawlor)
summary(sizeFactors(sce.lawlor))
##    Min. 1st Qu.  Median    Mean 3rd Qu.    Max. 
##   0.295   0.781   0.963   1.000   1.182   2.629
plot(librarySizeFactors(sce.lawlor), sizeFactors(sce.lawlor), pch=16,
    xlab="Library size factors", ylab="Deconvolution factors", log="xy")
Relationship between the library size factors and the deconvolution size factors in the Lawlor pancreas dataset.

Figure 7.3: Relationship between the library size factors and the deconvolution size factors in the Lawlor pancreas dataset.

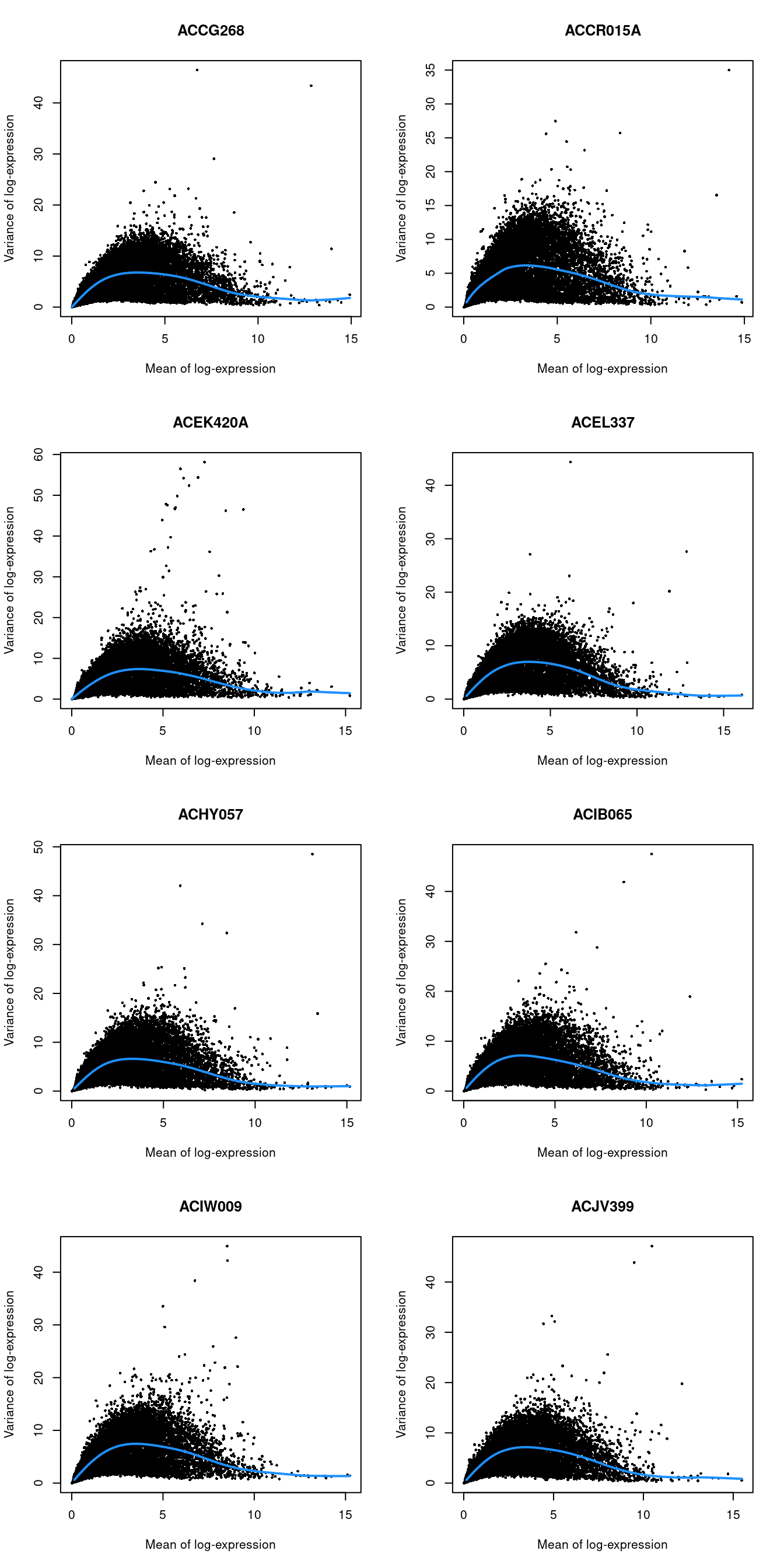
7.5 Variance modelling

Using age as a proxy for the donor.

dec.lawlor <- modelGeneVar(sce.lawlor, block=sce.lawlor$`islet unos id`)
chosen.genes <- getTopHVGs(dec.lawlor, n=2000)
par(mfrow=c(4,2))
blocked.stats <- dec.lawlor$per.block
for (i in colnames(blocked.stats)) {
    current <- blocked.stats[[i]]
    plot(current$mean, current$total, main=i, pch=16, cex=0.5,
        xlab="Mean of log-expression", ylab="Variance of log-expression")
    curfit <- metadata(current)
    curve(curfit$trend(x), col='dodgerblue', add=TRUE, lwd=2)
}
Per-gene variance as a function of the mean for the log-expression values in the Lawlor pancreas dataset. Each point represents a gene (black) with the mean-variance trend (blue) fitted separately for each donor.

Figure 7.4: Per-gene variance as a function of the mean for the log-expression values in the Lawlor pancreas dataset. Each point represents a gene (black) with the mean-variance trend (blue) fitted separately for each donor.

7.6 Dimensionality reduction

library(BiocSingular)
set.seed(101011001)
sce.lawlor <- runPCA(sce.lawlor, subset_row=chosen.genes, ncomponents=25)
sce.lawlor <- runTSNE(sce.lawlor, dimred="PCA")

7.7 Clustering

snn.gr <- buildSNNGraph(sce.lawlor, use.dimred="PCA")
colLabels(sce.lawlor) <- factor(igraph::cluster_walktrap(snn.gr)$membership)
table(colLabels(sce.lawlor), sce.lawlor$`cell type`)
##    
##     Acinar Alpha Beta Delta Ductal Gamma/PP None/Other Stellate
##   1      1     0    1    13      2       16          2        0
##   2      0     0   75     1      0        0          0        0
##   3      0   161    1     0      0        1          2        0
##   4      0     1    0     1      0        0          5       19
##   5     22     0    0     0      0        0          0        0
##   6      0     0  174     4      1        0          1        0
##   7      0    76    1     0      0        0          0        0
##   8      0     0    0     1     20        0          2        0
table(colLabels(sce.lawlor), sce.lawlor$`islet unos id`)
##    
##     ACCG268 ACCR015A ACEK420A ACEL337 ACHY057 ACIB065 ACIW009 ACJV399
##   1       8        2        2       4       4       4       9       2
##   2      13        3        2      33       3       2       4      16
##   3      36       23       14      13      14      14      21      30
##   4       7        1        0       1       0       4       9       4
##   5       0        2       13       0       0       0       5       2
##   6      34       10        4      39       7      23      24      39
##   7      33       12        0       5       6       7       4      10
##   8       1        1        2       1       2       1      12       3
gridExtra::grid.arrange(
    plotTSNE(sce.lawlor, colour_by="label"),
    plotTSNE(sce.lawlor, colour_by="islet unos id"),
    ncol=2
)
Obligatory $t$-SNE plots of the Lawlor pancreas dataset. Each point represents a cell that is colored by cluster (left) or batch (right).

Figure 5.3: Obligatory \(t\)-SNE plots of the Lawlor pancreas dataset. Each point represents a cell that is colored by cluster (left) or batch (right).

Session Info

R version 4.4.0 beta (2024-04-15 r86425)
Platform: x86_64-pc-linux-gnu
Running under: Ubuntu 22.04.4 LTS

Matrix products: default
BLAS:   /home/biocbuild/bbs-3.19-bioc/R/lib/libRblas.so 
LAPACK: /usr/lib/x86_64-linux-gnu/lapack/liblapack.so.3.10.0

locale:
 [1] LC_CTYPE=en_US.UTF-8       LC_NUMERIC=C              
 [3] LC_TIME=en_GB              LC_COLLATE=C              
 [5] LC_MONETARY=en_US.UTF-8    LC_MESSAGES=en_US.UTF-8   
 [7] LC_PAPER=en_US.UTF-8       LC_NAME=C                 
 [9] LC_ADDRESS=C               LC_TELEPHONE=C            
[11] LC_MEASUREMENT=en_US.UTF-8 LC_IDENTIFICATION=C       

time zone: America/New_York
tzcode source: system (glibc)

attached base packages:
[1] stats4    stats     graphics  grDevices utils     datasets  methods  
[8] base     

other attached packages:
 [1] BiocSingular_1.20.0         scran_1.32.0               
 [3] scater_1.32.0               ggplot2_3.5.1              
 [5] scuttle_1.14.0              ensembldb_2.28.0           
 [7] AnnotationFilter_1.28.0     GenomicFeatures_1.56.0     
 [9] AnnotationDbi_1.66.0        AnnotationHub_3.12.0       
[11] BiocFileCache_2.12.0        dbplyr_2.5.0               
[13] scRNAseq_2.18.0             SingleCellExperiment_1.26.0
[15] SummarizedExperiment_1.34.0 Biobase_2.64.0             
[17] GenomicRanges_1.56.0        GenomeInfoDb_1.40.0        
[19] IRanges_2.38.0              S4Vectors_0.42.0           
[21] BiocGenerics_0.50.0         MatrixGenerics_1.16.0      
[23] matrixStats_1.3.0           BiocStyle_2.32.0           
[25] rebook_1.14.0              

loaded via a namespace (and not attached):
  [1] jsonlite_1.8.8            CodeDepends_0.6.6        
  [3] magrittr_2.0.3            ggbeeswarm_0.7.2         
  [5] gypsum_1.0.0              farver_2.1.1             
  [7] rmarkdown_2.26            BiocIO_1.14.0            
  [9] zlibbioc_1.50.0           vctrs_0.6.5              
 [11] memoise_2.0.1             Rsamtools_2.20.0         
 [13] DelayedMatrixStats_1.26.0 RCurl_1.98-1.14          
 [15] htmltools_0.5.8.1         S4Arrays_1.4.0           
 [17] curl_5.2.1                BiocNeighbors_1.22.0     
 [19] Rhdf5lib_1.26.0           SparseArray_1.4.0        
 [21] rhdf5_2.48.0              sass_0.4.9               
 [23] alabaster.base_1.4.0      bslib_0.7.0              
 [25] alabaster.sce_1.4.0       httr2_1.0.1              
 [27] cachem_1.0.8              GenomicAlignments_1.40.0 
 [29] igraph_2.0.3              mime_0.12                
 [31] lifecycle_1.0.4           pkgconfig_2.0.3          
 [33] rsvd_1.0.5                Matrix_1.7-0             
 [35] R6_2.5.1                  fastmap_1.1.1            
 [37] GenomeInfoDbData_1.2.12   digest_0.6.35            
 [39] colorspace_2.1-0          paws.storage_0.5.0       
 [41] dqrng_0.3.2               irlba_2.3.5.1            
 [43] ExperimentHub_2.12.0      RSQLite_2.3.6            
 [45] beachmat_2.20.0           labeling_0.4.3           
 [47] filelock_1.0.3            fansi_1.0.6              
 [49] httr_1.4.7                abind_1.4-5              
 [51] compiler_4.4.0            bit64_4.0.5              
 [53] withr_3.0.0               BiocParallel_1.38.0      
 [55] viridis_0.6.5             DBI_1.2.2                
 [57] highr_0.10                HDF5Array_1.32.0         
 [59] alabaster.ranges_1.4.0    alabaster.schemas_1.4.0  
 [61] rappdirs_0.3.3            DelayedArray_0.30.0      
 [63] bluster_1.14.0            rjson_0.2.21             
 [65] tools_4.4.0               vipor_0.4.7              
 [67] beeswarm_0.4.0            glue_1.7.0               
 [69] restfulr_0.0.15           rhdf5filters_1.16.0      
 [71] grid_4.4.0                Rtsne_0.17               
 [73] cluster_2.1.6             generics_0.1.3           
 [75] gtable_0.3.5              metapod_1.12.0           
 [77] ScaledMatrix_1.12.0       utf8_1.2.4               
 [79] XVector_0.44.0            ggrepel_0.9.5            
 [81] BiocVersion_3.19.1        pillar_1.9.0             
 [83] limma_3.60.0              dplyr_1.1.4              
 [85] lattice_0.22-6            rtracklayer_1.64.0       
 [87] bit_4.0.5                 tidyselect_1.2.1         
 [89] paws.common_0.7.2         locfit_1.5-9.9           
 [91] Biostrings_2.72.0         knitr_1.46               
 [93] gridExtra_2.3             bookdown_0.39            
 [95] ProtGenerics_1.36.0       edgeR_4.2.0              
 [97] xfun_0.43                 statmod_1.5.0            
 [99] UCSC.utils_1.0.0          lazyeval_0.2.2           
[101] yaml_2.3.8                evaluate_0.23            
[103] codetools_0.2-20          tibble_3.2.1             
[105] alabaster.matrix_1.4.0    BiocManager_1.30.22      
[107] graph_1.82.0              cli_3.6.2                
[109] munsell_0.5.1             jquerylib_0.1.4          
[111] Rcpp_1.0.12               dir.expiry_1.12.0        
[113] png_0.1-8                 XML_3.99-0.16.1          
[115] parallel_4.4.0            blob_1.2.4               
[117] sparseMatrixStats_1.16.0  bitops_1.0-7             
[119] viridisLite_0.4.2         alabaster.se_1.4.0       
[121] scales_1.3.0              purrr_1.0.2              
[123] crayon_1.5.2              rlang_1.1.3              
[125] cowplot_1.1.3             KEGGREST_1.44.0          

References

Lawlor, N., J. George, M. Bolisetty, R. Kursawe, L. Sun, V. Sivakamasundari, I. Kycia, P. Robson, and M. L. Stitzel. 2017. “Single-cell transcriptomes identify human islet cell signatures and reveal cell-type-specific expression changes in type 2 diabetes.” Genome Res. 27 (2): 208–22.